Data Analysis: runPvSeroPipeline()
Run this global function runPvSeroPipeline() embedded
within the SeroTrackR R package! This function contains
all of the steps in order of how to perform the Plasmodium
vivax serology test and treat protocol as found in our application!
Using Tutorial Dataset: Load the Data
We will be using the build-in files in the R package for this tutorial, as shown below.
library(SeroTrackR)
library(tidyverse)
your_raw_data <- c(
system.file("extdata", "example_MAGPIX_plate1.csv", package = "SeroTrackR"),
system.file("extdata", "example_MAGPIX_plate2.csv", package = "SeroTrackR"),
system.file("extdata", "example_MAGPIX_plate3.csv", package = "SeroTrackR")
)
your_plate_layout <- system.file("extdata", "example_platelayout_1.xlsx", package = "SeroTrackR")To run your OWN data, follow the code below and uncomment (i.e., remove the hashtags):
your_raw_data <- c(
"PATH/TO/YOUR/FILE/plate1.csv",
"PATH/TO/YOUR/FILE/plate2.csv",
"PATH/TO/YOUR/FILE/plate3.csv"
)
your_plate_layout <- "PATH/TO/YOUR/FILE/plate_layout.xlsx"Run Classification: Yes
final_analysis <- runPvSeroPipeline(
raw_data = your_raw_data,
plate_layout = your_plate_layout,
platform = "magpix",
location = "ETH",
experiment_name = "experiment1",
classify = "Yes",
algorithm_type = "antibody_model",
sens_spec = "maximised"
)
#> Registered S3 methods overwritten by 'meltr':
#> method from
#> print.date_names readr
#> print.locale readr
#> PASS: File example_magpix_plate1.csv successfully validated.
#> PASS: File example_magpix_plate2.csv successfully validated.
#> PASS: File example_magpix_plate3.csv successfully validated.
#> Plate layouts correctly identified!
final_analysis
#> [[1]]
#> # A tibble: 252 × 12
#> SampleID Plate QC_total EBP LF005 LF010 LF016 MSP8 PTEX150
#> <chr> <chr> <chr> <dbl> <dbl> <dbl> <dbl> <dbl> <dbl>
#> 1 ABC013 plate1 pass 0.000334 0.00150 0.000216 0.00146 0.0000195 1.59e-4
#> 2 ABC097 plate2 pass 0.000432 0.00156 0.000194 0.00134 0.0000195 1.55e-4
#> 3 ABC181 plate3 pass 0.000382 0.00158 0.000214 0.00137 0.0000195 1.58e-4
#> 4 ABC022 plate1 pass 0.02 0.02 0.000737 0.0195 0.000625 3.14e-4
#> 5 ABC106 plate2 pass 0.00571 0.0194 0.000746 0.0195 0.000626 3.08e-4
#> 6 ABC190 plate3 pass 0.00983 0.02 0.000740 0.02 0.000602 3.17e-4
#> 7 ABC023 plate1 pass 0.000106 0.00832 0.000131 0.00129 0.000112 1.76e-3
#> 8 ABC107 plate2 pass 0.000109 0.00738 0.000112 0.00117 0.0000973 1.56e-3
#> 9 ABC191 plate3 pass 0.000102 0.00856 0.000130 0.00122 0.000107 1.83e-3
#> 10 ABC024 plate1 pass 0.000200 0.000391 0.000283 0.00134 0.0000534 5.87e-5
#> # ℹ 242 more rows
#> # ℹ 3 more variables: PvCSS <dbl>, RBP2b.P87 <dbl>, pred_class_max <fct>
#>
#> [[2]]
#>
#> [[3]]

#>
#> [[4]]
#> # A tibble: 2 × 4
#> Location SampleID Plate QC
#> <chr> <chr> <chr> <chr>
#> 1 A1 Blank1 plate2 fail
#> 2 A2 Blank2 plate2 fail
#>
#> [[5]]

#>
#> [[6]]
#> [[6]]$plate1
#> Ignoring unknown labels:
#> • fill : "Antigen"

#>
#> [[6]]$plate2
#> Ignoring unknown labels:
#> • fill : "Antigen"

#>
#> [[6]]$plate3
#> Ignoring unknown labels:
#> • fill : "Antigen"

Classification
This is a table containing the classification results (seropositive
or seronegative) for each SampleID. In this case, the
classification results are stored in the pred_class_max
column as we chose the sens_spec = "maximised". If you
change it to another type of threshold, then the suffix of that column
will change accordingly.
You will also see the relative antibody unit (RAU) values (columns
with antigen names), whether the sample passed QC check
(QC_total) and the plate that they were run
on.
| SampleID | Plate | QC_total | EBP | LF005 | LF010 | LF016 | MSP8 | PTEX150 | PvCSS | RBP2b.P87 | pred_class_max |
|---|---|---|---|---|---|---|---|---|---|---|---|
| ABC013 | plate1 | pass | 0.0003339 | 0.0015045 | 0.0002163 | 0.0014567 | 0.0000195 | 0.0001591 | 0.0000772 | 0.0003714 | seropositive |
| ABC097 | plate2 | pass | 0.0004324 | 0.0015615 | 0.0001944 | 0.0013373 | 0.0000195 | 0.0001549 | 0.0000705 | 0.0009189 | seropositive |
| ABC181 | plate3 | pass | 0.0003822 | 0.0015832 | 0.0002144 | 0.0013711 | 0.0000195 | 0.0001582 | 0.0000710 | 0.0002070 | seropositive |
| ABC022 | plate1 | pass | 0.0200000 | 0.0200000 | 0.0007373 | 0.0194885 | 0.0006247 | 0.0003145 | 0.0006008 | 0.0004895 | seropositive |
| ABC106 | plate2 | pass | 0.0057123 | 0.0193731 | 0.0007458 | 0.0195240 | 0.0006263 | 0.0003077 | 0.0006480 | 0.0126203 | seropositive |
| ABC190 | plate3 | pass | 0.0098260 | 0.0200000 | 0.0007400 | 0.0200000 | 0.0006020 | 0.0003171 | 0.0006555 | 0.0175253 | seropositive |
Standard Curve Plot
The standard curve plots are generated from the antibody data from the standards you indicated in your plate layout (e.g. S1-S10) and Median Fluorescent Intensity (MFI) units are displayed in log10-scale. In the case of the PvSeroTaT multi-antigen panel, the antigens will be displayed and in general your standard curves should look relatively linear (only when the y-axis is on logarithmic scale).
final_analysis[[2]]
Bead Counts QC Plot
A summary of the bead counts for each plate well are displayed, with blue indicating there are sufficient beads (≥15) or red when there are not enough. If any of the wells are red, they should be double-checked manually and re-run on a new plate if required.
The function will inform you whether there are “No repeats necessary” or provide a list of samples to be re-run. In the example data, the beads in plate 2 wells A1 and A2 will need to be repeated
final_analysis[[3]] # Plot
final_analysis[[4]] # Samples to repeat
#> # A tibble: 2 × 4
#> Location SampleID Plate QC
#> <chr> <chr> <chr> <chr>
#> 1 A1 Blank1 plate2 fail
#> 2 A2 Blank2 plate2 failBlanks QC Plot
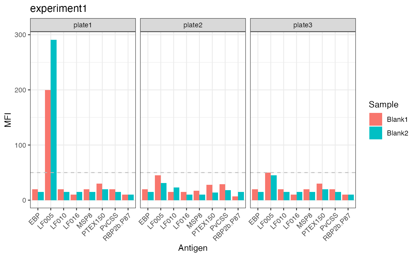
The Median Fluorescent Intensity (MFI) units for each antigen is displayed for your blank samples. In general, each blank sample should have ≤50 MFI for each antigen, if they are higher they should be cross-checked manually.
In the example data, blank samples recorded higher MFI values for LF005 on plate 1 and should be checked to confirm this is expected from the assay.
final_analysis[[5]]
Model Output Plot
The automated data processing in this app allows you to convert your Median Fluorescent Intensity (MFI) data into Relative Antibody Units (RAU) by fitting a 5-parameter logistic function to the standard curve on a per-antigen level. The results from this log-log conversion should look relatively linear for each antigen.
final_analysis[[6]]
#> $plate1
#> Ignoring unknown labels:
#> • fill : "Antigen"
#>
#> $plate2
#> Ignoring unknown labels:
#> • fill : "Antigen"

#>
#> $plate3
#> Ignoring unknown labels:
#> • fill : "Antigen"

Run Classification: No
no_classification_final_analysis <- runPvSeroPipeline(
raw_data = your_raw_data,
plate_layout = your_plate_layout,
platform = "magpix",
location = "ETH",
experiment_name = "experiment1",
classify = "No", ########################## key if you do NOT want any classification performed i.e., you do not have PvSeroTaT antigens
algorithm_type = "antibody_model",
sens_spec = "maximised"
)
#> PASS: File example_magpix_plate1.csv successfully validated.
#> PASS: File example_magpix_plate2.csv successfully validated.
#> PASS: File example_magpix_plate3.csv successfully validated.
#> Plate layouts correctly identified!
#> No Classification PerformedMFI and RAU Data
| SampleID | Plate | QC_total | EBP_MFI | EBP_Dilution | LF005_MFI | LF005_Dilution | LF010_MFI | LF010_Dilution | LF016_MFI | LF016_Dilution | MSP8_MFI | MSP8_Dilution | PTEX150_MFI | PTEX150_Dilution | PvCSS_MFI | PvCSS_Dilution | RBP2b.P87_MFI | RBP2b.P87_Dilution |
|---|---|---|---|---|---|---|---|---|---|---|---|---|---|---|---|---|---|---|
| ABC013 | plate1 | pass | 2712 | 0.0003339 | 1569.0 | 0.0015045 | 673 | 0.0002163 | 327 | 0.0014567 | 182.0 | 1.95e-05 | 936.0 | 0.0001591 | 223 | 0.0000772 | 1068.0 | 0.0003714 |
| ABC014 | plate1 | pass | 134 | 0.0000216 | 378.0 | 0.0004204 | 117 | 0.0000277 | 197 | 0.0010331 | 58.0 | 1.95e-05 | 122.0 | 0.0000225 | 93 | 0.0000298 | 465.5 | 0.0001536 |
| ABC015 | plate1 | pass | 182 | 0.0000232 | 209.0 | 0.0002466 | 208 | 0.0000616 | 374 | 0.0015985 | 221.5 | 1.95e-05 | 293.0 | 0.0000535 | 868 | 0.0002235 | 463.0 | 0.0001527 |
| ABC016 | plate1 | pass | 152 | 0.0000222 | 229.5 | 0.0002688 | 101 | 0.0000244 | 89 | 0.0005994 | 48.0 | 1.95e-05 | 109.0 | 0.0000220 | 110 | 0.0000383 | 591.0 | 0.0001989 |
| ABC017 | plate1 | pass | 1135 | 0.0001478 | 236.0 | 0.0002758 | 299 | 0.0000950 | 507 | 0.0019840 | 209.5 | 1.95e-05 | 1665.5 | 0.0002668 | 266 | 0.0000893 | 671.0 | 0.0002277 |
| ABC018 | plate1 | pass | 174 | 0.0000229 | 395.0 | 0.0004370 | 175 | 0.0000460 | 78 | 0.0005452 | 70.0 | 1.95e-05 | 294.5 | 0.0000537 | 92 | 0.0000296 | 103.0 | 0.0000238 |
QC Plots
Repeat the same steps as above to find the QC plots!
#### Standard Curve Plot
no_classification_final_analysis[[2]]
#### Bead Counts QC Plot
no_classification_final_analysis[[3]] # Plot
no_classification_final_analysis[[4]] # Samples to repeat
#> # A tibble: 2 × 4
#> Location SampleID Plate QC
#> <chr> <chr> <chr> <chr>
#> 1 A1 Blank1 plate2 fail
#> 2 A2 Blank2 plate2 fail
#### Blanks QC Plot
no_classification_final_analysis[[5]]
#### Model Output Plot
no_classification_final_analysis[[6]]
#> $plate1
#> Ignoring unknown labels:
#> • fill : "Antigen"
#>
#> $plate2
#> Ignoring unknown labels:
#> • fill : "Antigen"

#>
#> $plate3
#> Ignoring unknown labels:
#> • fill : "Antigen"

Create a PDF Report
renderQCReport(
your_raw_data,
your_plate_layout,
"magpix",
location = "ETH",
path = "inst/tutorials/" # defaults to your current working directory
)
